jf
|
Chat Online
17/01/2024 18:38:06
Toán học - Lớp 7
|
Toán học
|
Lớp 7
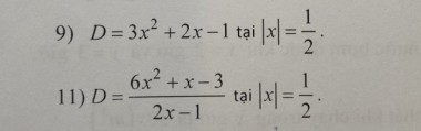
Tính giá trị biểu thức
[ Nhấp vào ảnh để phóng to, xoay ảnh ]
Bài tập đã có
1
trả lời, xem
1
trả lời ...
|
Chính sách thưởng
|
Quy chế giải bài tập
Viết tay giải bài ra giấy, ghi rõ "Tên tài khoản + Lazi.vn", chụp ảnh gửi trả lời để nhận Điểm Thực Lực. Trả lời Trắc nghiệm dạng A, B, C, D sẽ không được điểm thực lực
Đăng ký tài khoản
để nhận
Giải thưởng
khi trả lời bài tập.
Đăng ký tài khoản để có thể trả lời bài tập này!
Đăng ký qua Google:
Hoặc lựa chọn:
Đăng ký bằng email, điện thoại
Đăng nhập bằng email, điện thoại
Lazi.vn