Lan Nguyen | Chat Online
30/11/2022 19:29:13

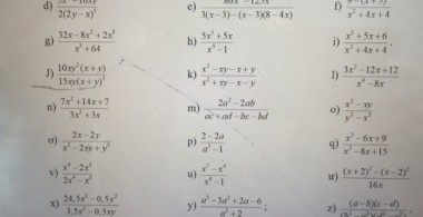
Tính x


J)
n)
σ)
V)
2(2y-x)³
32x-8x²+2x²³
1³ +64
10xy²(x+y)
15xy(x+y)³
X)
7x² +14x+7
3x² + 3x
2x-2y
x² - 2xy + y²
4
x² - 2x³
4
2x²-x²³
24,5x²-0,5y²
3,5x²-0,5xy
e)
h)
k)
m)
p)
u).
y)
80x
3(x-3)-(x-3)(8-4x)
5x+50
x-1
x²-xy-x+y
x² + xy-x-y
2a²-2ab
ac ad-bc-bd
2-2a
a³-1
x²-x
6
x-1
4
a³-3a²+2a-6
a² +2
f)
i)
1)
o)
9
u)
z).
·(x+3)
x² +4x+4
x+5076
x² + 4x+4
3x²-12x+12
x² - 8x
x²-xy
y²-x²
x² - 6x+9
x² - 8x+15
(x+2)²-(x-2)²
16x
(a-b)(c-d)
(3²-²)(²²²)
Lazi.vn