Hương Trấn | Chat Online
14/08/2023 23:00:30

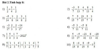
Tính hợp lí:


----- Nội dung dịch tự động từ ảnh -----
Bài 2.Tính hợp lí:
1)
5)
314
1 3 1
9)
+
3) +
14
mico
3
2 3 1
--+-
8 14 82
-3 2,2-14
-+-
17 3 3 17
1517
7) +--
34 34
-2022°
-
5/1 1 4
+-
+
1
7
7
5
2)
4)
6)
8)
10)
5 4 8
=+
13 7 13
-53 -58
+
7 11 7 11
+
7 5 23 5 3
--+-+---
15 7 15 7
دیا | ط
-20
-5 -21 8
+- + + +
13 17 41 13 41
15 9
8-4 8 -9
+
:
15 5 5
Lazi.vn