quốc đông tạ
|
Chat Online
18/07/2024 06:37:01
Toán học - Lớp 8
|
Toán học
|
Lớp 8
Tính giá trị của biểu thức
[ Nhấp vào ảnh để phóng to, xoay ảnh ]
----- Nội dung dịch tự động từ ảnh -----
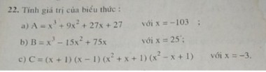
22. Tính giá trị của biểu thức :
a) A = x²+9x² + 27x+27
b) B=x³- 15x² + 75x
với x = − 103 ;
với x = 25 ;
c) C = (x + 1) (x-1) (x² + x + 1) (x²-x+1)
với x = −3.
Bài tập đã có
1
trả lời, xem
1
trả lời ...
|
Chính sách thưởng
|
Quy chế giải bài tập
Viết tay giải bài ra giấy, ghi rõ "Tên tài khoản + Lazi.vn", chụp ảnh gửi trả lời để nhận Điểm Thực Lực. Trả lời Trắc nghiệm dạng A, B, C, D sẽ không được điểm thực lực
Đăng ký tài khoản
để nhận
Giải thưởng
khi trả lời bài tập.
Đăng ký tài khoản để có thể trả lời bài tập này!
Đăng ký qua Google:
Hoặc lựa chọn:
Đăng ký bằng email, điện thoại
Đăng nhập bằng email, điện thoại
Lazi.vn